MINERAIS CRITIQUES ET SECURITE REGIONALE : LA RDC TEND LA MAIN, LES ÉTATS-UNIS RESTENT MUETS

Un bon vent nous a fait parvenir les documents fondamentaux de la demande de la RDC et de Tshisekedi adressée à l’administration Trump, pour une sorte de deal entre RDC et USA qui l’on pourrait appeler d’échange de minerais contre soutien politique et militaire.
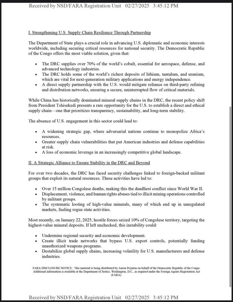
Les documents datés du 21 février 2025, comprenant deux pages de lettres formelles et une proposition détaillée, révèlent un projet ambitieux de partenariat stratégique entre les États-Unis et la République Démocratique du Congo (RDC).
Ces initiatives, portées par l’Africa-USA Business Council avec le soutien notable du sénateur congolais Pierre Kangudie Kabayi, visent à redéfinir les relations économiques et militaires entre les deux nations. Elles sont adressées à des figures clés de l’administration américaine, principalement le secrétaire d’État Marco Rubio, avec un appel explicite à l’implication du président Donald Trump et des leaders du Congrès.
LES ÉTATS-UNIS ET LA RDC : PROPOSITION D’UNE ALLIANCE STRATEGIQUE POUR REDESSINER LES EQUILIBRES DE L’AFRIQUE CENTRALE
Dans un monde où les minéraux critiques sont devenus le nerf de la guerre économique et technologique, une proposition audacieuse venue des corridors de l’Africa-USA Business Council fait trembler les chancelleries. Portée par le sénateur congolais Pierre Kangudie Kabayi et adressée au secrétaire d’État Marco Rubio, cette initiative appelle à une alliance transformative entre les États-Unis et la République Démocratique du Congo (RDC). Avec en ligne de mire : les 24 trillions de dollars de réserves inexploitées de cobalt, lithium et autres trésors enfouis dans le sol congolais. Mais derrière les chiffres, c’est une bataille géopolitique qui se joue, avec la Chine dans le viseur et Donald Trump convoqué au premier rang.
L’histoire, comme nous avons précisé, commence par une lettre datée du 21 février 2025, estampillée du sceau de l’Africa-USA Business Council et signée par Aaron Poynton, représentant officiel de la RDC. Le ton est clair : les deux nations partagent un destin commun dans la sécurisation des chaînes d’approvisionnement en minéraux stratégiques. La RDC, premier fournisseur mondial de cobalt et acteur majeur du cuivre et de l’uranium, propose aux entreprises américaines un accès privilégié à ses ressources. En échange? Un partenariat économique et militaire qui pourrait changer la donne en Afrique centrale.
Le plan est ambitieux. D’abord, ouvrir grand les portes des mines congolaises aux firmes américaines, leur offrant des droits d’extraction et d’exportation pour alimenter les industries de la défense et de la tech outre-Atlantique. Ensuite, placer le port en eau profonde de Banana sous contrôle opérationnel américain, transformant ce point névralgique en une artère vitale pour les exportations mondiales. Puis, bâtir une réserve stratégique conjointe de minéraux, un bouclier contre les tempêtes des marchés internationaux. Enfin, sceller le tout par une coopération militaire renforcée : former les soldats congolais, établir des bases américaines dans des zones clés, et même évincer les casques bleus de l’ONU au profit d’une alliance bilatérale directe.
Derrière cette offensive, un contexte brûlant. Félix Tshisekedi, président de la RDC, a lancé un appel public aux États-Unis pour convaincre ceux-ci de sa volonté de contrer l’emprise chinoise sur son secteur minier. Pour Washington, l’enjeu est clair : sécuriser des ressources vitales tout en plantant son drapeau dans une région convoitée. Le sénateur Kabayi, initiateur de cette proposition, exhorte Rubio à organiser une visite urgente de Tshisekedi à Washington. Mieux encore, il appelle Donald Trump à prendre les rênes, imaginant un sommet entre les deux présidents comme le coup d’éclat qui rallierait le Congrès à cette cause.
Mais le chemin est semé d’embûches. Céder des bases et des droits d’extraction aux Américains pourrait enflammer les esprits au Congo, où le spectre de l’impérialisme plane toujours. La RDC, riche mais fragile, doit jongler avec une politique interne explosive. Et que dire de la Chine, qui ne restera pas les bras croisés face à cette tentative de réalignement occidental ?
Reçue par l’unité FARA du Département de la Justice le 27 février à 15h45, cette proposition n’est encore qu’un brouillon. Reste à savoir si cette alliance tiendra ses promesses ou s’effondrera sous le poids des tensions qu’elle suscite, comme fut le cas de l engagement non tenu par Tshisekedi, face à l administration Biden, d’annuler les tristement célèbres « contrats chinois » qui donnent une position privilégiée de la Chine sur les ressources minières de la RDC. Mais Tshisekedi n’ a pas tenu sa parole…
LE PLAN SE DEPLOIE EN PLUSIEURS AXES :
Accès aux minerais stratégiques : Les entreprises américaines obtiendraient des droits d’extraction et d’exportation, sécurisant une chaîne d’approvisionnement stable pour les industries de la défense et de la technologie aux États-Unis.
Contrôle du port de Banana : Le port en eau profonde de Banana passerait sous gestion opérationnelle américaine, devenant une artère vitale pour les exportations de minerais.
Réserve stratégique conjointe : Une réserve de minéraux critiques serait constituée, renforçant la résilience économique et sécuritaire des deux nations.
Coopération militaire renforcée : Les États-Unis s’engageraient à former et équiper les forces armées congolaises, à établir des bases dans des zones clés pour protéger les ressources, et à remplacer les opérations de maintien de la paix de l’ONU jugées inefficaces par une alliance bilatérale directe.
LA CESSION DES MINERAIS : UN LEVIER FACE A LA CRISE MILITAIRE
Dans le contexte d’une crise militaire aiguë, la RDC se trouve dans une position de vulnérabilité extrême. Les ressources minérales, bien qu’abondantes, sont devenues une malédiction, attirant des groupes armés qui cherchent à contrôler les zones d’extraction. Face à cette instabilité, la proposition de céder des droits d’exploitation aux États-Unis en échange d’un soutien militaire prend une dimension critique. Cet accord, qui pourrait inclure la formation des soldats congolais et l’accès à des bases militaires américaines sur le sol congolais, vise à sécuriser les routes d’approvisionnement des minerais tout en stabilisant le pays.
Historiquement, des précédents existent. Pendant la Guerre Froide, des nations ont échangé des ressources contre un soutien militaire pour contrer des menaces internes ou externes. Aujourd’hui, la RDC pourrait suivre ce modèle, offrant ses richesses minérales – cobalt, lithium, cuivre – en échange d’une intervention américaine pour repousser les forces déstabilisatrices et protéger ses frontières ( et aussi le régime vacillant de Tshisekedi)…
UN CONTEXTE GEOPOLITIQUE BRULANT
Félix Tshisekedi, président de la RDC, a lancé un appel public aux États-Unis pour apparemment contrer l’emprise chinoise sur le secteur minier congolais, qui domine actuellement l’exploitation des ressources.
Pour Washington, l’enjeu est double : sécuriser des minerais vitaux pour sa défense et son économie tout en affaiblissant l’influence de Pékin en Afrique centrale.
Le sénateur Kabayi exhorte Rubio à organiser une visite urgente de Tshisekedi à Washington, et appelle Donald Trump à orchestrer un sommet bilatéral pour sceller cet accord stratégique.
Mais cette alliance politique, militaire et économique ne va pas sans risques. Céder des bases et des droits d’extraction aux Américains pourrait raviver les accusations d’impérialisme au sein de la population congolaise, où la mémoire coloniale reste vive. La Chine, principal acteur dans le secteur minier de la RDC, pourrait réagir avec fermeté, exacerbant les tensions géopolitiques dans la région.
ENJEUX ETHIQUES ET PERSPECTIVES D’AVENIR
Un tel accord soulève des questions cruciales. La souveraineté de la RDC risque d’être perçue comme compromise si les bénéfices de l’exploitation minière ne profitent pas aux communautés locales, souvent laissées pour compte. Pour que cette alliance soit durable, les États-Unis devront adopter une approche éthique : garantir que les richesses extraites contribuent au développement local et à la stabilisation à long terme, plutôt que de perpetuer un cycle d’exploitation.
Cette proposition reste pour l’instant un projet ambitieux mais fragile. Elle porte néanmoins une promesse : celle d’un régime Tshisekedi renforcé par un partenariat avec les États-Unis, où les minerais deviennent un levier de soutien politique et militaire. Reste à savoir si cette alliance tiendra ses engagements ou s’effondrera sous le poids des tensions qu’elle suscite.
UN SILENCE ASSOURDISSANT
La République Démocratique du Congo (RDC) traverse, comme l’on sait, une crise militaire critique, où les groupes armés menacent ses ressources minières stratégiques, évaluées à plus de 24 trillions de dollars. Pourtant, face à cette urgence et aux propositions audacieuses de l’Africa-USA Business Council, déposées le 21 février 2025 et adressées au Secrétaire d’État Marco Rubio, l’administration Trump demeure, jusqu’à présent, muette face à ces propositions qui incluent un partenariat économique et militaire direct avec les États-Unis.
Mais ce silence persistant de Washington laisse la RDC et son régime actuel dans une position précaire.
Résistant Congolais


